GB18883 中华人民共和国国家标准室内空气质量标准
1 范围
本标准规定了室内空气质量参数及检验方法。
本标准适用于住宅和办公建筑物。
2 规范性引用文件
下列文件中的条款通过本标准的引用而成为本标准的条款。凡是注日期的引用文件,其随后所有的修改(不包括勘误内容)或修订版均不适用于本标准,然而,鼓励根据本标准达成的各方研究是否可使用这些文件的最新版本。凡是不注日期的引用文件,其最新版本适用于本标准。
GB 6921-86 |
大气飘尘浓度测定方法 重量法 |
GB 9801-88 |
空气质量 一氧化碳的测定 非分散红外法 |
GB 11737-89 |
居住区大气中苯、甲苯和二甲苯卫生检验标准方法 气相色谱法 |
GB 12372-90 |
居住区大气中二氧化氮检验标准方法 改进的 Saltzman 法 |
GB/T 14679-93 |
空气质量 氨的测定 次氯酸钠 - 水杨酸分光光度法 |
GB/T 14669-93 |
空气质量 氨的测定 离子选择电极法 |
GB/T 14582-93 |
环境空气中氡的标准测量方法 |
GB 14677-93 |
空气质量 甲苯、二甲苯、苯乙烯的测定 气相色谱法 |
GB/T 15262-94 |
环境空气 二氧化硫的测定 甲醛吸收 - 副玫瑰苯胺分光光度法 |
GB/T 15435-1995 |
环境空气 二氧化氮的测定 Saltzman 法 |
GB/T 15438-1995 |
环境空气 臭氧的测定 紫外光度法 |
GB/T 15439-1995 |
环境空气 苯并 [a] 芘测定 高效液相色谱法 |
GB/T 15516-1995 |
空气质量 甲醛的测定 乙酰丙酮分光光度法 |
GB/T 16128-1995 |
居住区大气中二氧化硫卫生检验标准方法 甲醛溶液吸收 - 盐酸副玫瑰苯胺分光光度法 |
GB/T 16129-1995 |
居住区大气中甲醛卫生检验标准方法 分光光度法 |
GB/T 16146-1995 |
住房内氡浓度控制标准 |
GB/T 16147-1995 |
空气中氡浓度的闪烁瓶测量方法 |
GB/T 17095-1997 |
室内空气中可吸入颗粒物卫生标准 |
GB/T 18204.18-2000 |
公共场所室内新风量测定方法—示踪气体法 |
GB/T 18204.23-2000 |
公共场所空气中一氧化碳检验方法 |
GB/T 18204.24-2000 |
公共场所空气中二氧化碳检验方法 |
GB/T 18204.25-2000 |
公共场所空气中氨检验方法 |
GB/T 18204.26-2000 |
公共场所空气中甲醛测定方法 |
GB/T 18204.27-2000 |
公共场所空气中臭氧检验方法 |
5 室内空气质量检验
5.1 室内空气中各种化学污染物采样和检验方法见附录 A 和附录 B 。
5.2 室内空气中苯浓度的测定方法见附录 C 。
5.3 室内空气中总挥发性有机物( TVOC )的检验方法见附录 D 。
5.4 室内空气中细菌总数检验方法见附录 E 。
5.5 室内热环境参数的检验方法见附录 F 。
附录 A
(规范性附录)
室内空气采样技术导则
1 范围
本导则在进行室内空气污染物监测时,对采样点位,采样高度,采样时间和频率,以及采样方法和质量保证措施等项做出规定。 本导则作为《室内空气质量标准》配套的空气采样技术的指导原则,适用于《室内空气质量标准》中所规定的各种化学污染物的采样。
2 选点要求
2.1 采样点的数量:采样点的数量根据监测室内面积大小和现场情况而确定,以期能正确反映室内空气污染物的水平。原则上小于 50m 2 的房间应设 1~3 个点; 50~100m 2 设 3~5 个点; 100m 2 以上至少设 5 个点。在对角线上或梅花式均匀分布。
2.2 采样点应避开通风口,离墙壁距离应大于 0.5m 。
2.3 采样点的高度:原则上与人的呼吸带高度相一致。相对高度 0.5m~1.5m 之间。
3 采样时间和频率
采样前至少关闭门窗 4 小时。日平均浓度至少连续采样 18 小时, 8 小时平均浓度至少连续采样 6 小时, 1 小时平均浓度至少连续采样 45 分钟。
4 采样方法和采样仪器
根据污染物在室内空气中存在状态,选用合适的采样方法和仪器,用于室内的采样器的噪声应小于 50dB 。具体采样方法应按各个污染物检验方法中规定的方法和操作步骤进行。
5 采样的质量保证措施
5.1 气密性检查:有动力采样器在采样前应对采样系统气密性进行检查,不得漏气。
5.2 流量校准:采样系统流量要能保持恒定,采样前和采样后要用一级皂膜计校准采样系统进气流量,误差不超过 5% 。
采样器流量校准:在采样器正常使用状态下,用一级皂膜计校准采样器流量计的刻度,校准 5 个点,绘制流量标准曲线。记录校准时的大气压力和温度。
5.3 空白检验:在一批现场采样中,应留有两个采样管不采样,并按其他样品管一样对待,作为采样过程中空白检验,若空白检验超过控制范围,则这批样品作废。
5.4 仪器使用前,应按仪器说明书对仪器进行检验和标定。
5.5 在计算浓度时应用下式将采样体积换算成标准状态下的体积:

式中 V 0 —换算成标准状态下的采样体积, L ;
V —采样体积, L ;
T 0 —标准状态的绝对温度, 273K ;
T —采样时采样点现场的温度( t )与标准状态的绝对温度之和,( t+273 ) K ;
P 0 —标准状态下的大气压力, 101.3kPa ;
P —采样时采样点的大气压力, kPa 。
5.6 每次平行采样,测定之差与平均值比较的相对偏差不超过 20% 。
6 记录和报告
采样时要对现场情况、各种污染源、采样日期、时间、地点、数量、布点方式、大气压力、气温、相对湿度、风速以及采样者签字等做出详细记录,随样品一同报到实验室。
附录 B
(规范性附录)
室内空气中各种参数的检验方法 *
|
污染物 |
检验方法 |
来源 |
(1) |
二氧化硫
SO 2 |
甲醛溶液吸收 —— 盐酸副玫瑰苯胺分光光度法 |
( 1 ) GB/T 16128-1995
( 2 ) GB/T 15262-94 |
(2) |
二氧化氮
NO 2 |
改进的 Saltzaman 法 |
( 1 ) GB/ 12372-90
( 2 ) GB/T 15435-1995 |
(3) |
一氧化碳
CO |
( 1 )非分散红外法
( 2 )不分光红外线气体分析法
气相色谱法
汞置换法 |
( 1 ) GB 9801-88
( 2 ) GB/T 18204.23-2000 |
(4) |
二氧化碳
CO 2 |
( 1 )不分光红外线气体分析法
( 2 )气相色谱法
( 3 )容量滴定法 |
GB/T 18204.24-2000 |
(5) |
氨
NH3 |
( 1 )靛酚蓝分光光度法
纳氏试剂分光光度法
( 2 )离子选择电极法
( 3 )次氯酸钠—水杨酸分光光度法 |
( 1 ) GB/T 18204.25-2000
( 2 ) GB/T 14669-93
( 3 ) GB/T 14679-93 |
(6) |
臭氧
0 3 |
( 1 )紫外光度法
( 2 )靛蓝二磺酸钠分光光度法 |
( 1 ) GB/T 15438-1995
( 2 ) GB/T 18204.27-2000 |
(7) |
甲醛
HCHO |
? AHMT 分光光度法
? 酚试剂分光光度法
气相色谱法
( 3 )乙酰丙酮分光光度法 |
( 1 ) GB/T 16129-95
( 2 ) GB/T 18204.26-2000
( 3 ) GB/T 15516-95 |
(8) |
苯
C 6 H 6 |
气相色谱法 |
? 附录 C
( 2 ) GB 11737-89 |
( 9 ) |
甲苯 C 7 H 8 、
二甲苯 C 8 H 10 |
气相色谱法 |
GB 14677-93 |
(10) |
苯并 [a] 芘
B(a)P |
高压液相色谱法 |
GB/T 15439-1995 |
(11) |
可吸入颗粒
PM10 |
撞击式 —— 称重法 |
GB/T 17095-1997 |
(12) |
总挥发性有机物
TVOC |
气相色谱法 |
附录 D
|
(13) |
细菌总数 |
撞击法 |
附录 E |
(14) |
温度、相对湿度、空气流速 |
热环境参数的检验方法 |
附录 F |
(15) |
新风量 |
示踪气体法 |
GB/T18204.18-2000 |
(16) |
氡 Rn |
( 1 )空气中氡浓度的闪烁瓶测量方法
( 2 )环境空气中氡的标准测量方法 |
( 1 ) GB/T 16147-1995
( 2 ) GB/T 14582-93 |
* 注:检验方法中( 1 )法为仲裁法。
附录 C
(规范性附录)
空气中苯浓度的测定
(毛细管气相色谱法)
1 方法提要
1.1 相关标准和依据
本方法主要依据 GB 11737-89 居住区大气中苯、甲苯和二甲苯卫生检验标准方法—气相色谱法。
1.2 原理:空气中苯用活性炭管采集,然后用二硫化碳提取出来。用氢火焰离子化检测器的气相色谱仪分析,以保留时间定性,峰高定量。
1.3 干扰和排除:空气中水蒸汽或水雾量太大,以至在碳管中凝结时,严重影响活性炭的穿透容量和采样效率。空气湿度在 90% 时,活性炭管的采样效率仍然符合要求。空气中的其他污染物干扰,由于采用了气相色谱分离技术,选择合适的色谱分离条件可以消除。
2 适用范围
2.1 测定范围:采样量为 20L 时,用 1ml 二硫化碳提取,进样 1μl ,测定范围为 0.05~10 mg/m 3 。
2.2 适用场所:本法适用于室内空气和居住区大气中苯浓度的测定。
3 试剂和材料
3.1 苯:色谱纯。
3.2 二硫化碳:分析纯,需经纯化处理,保证色谱分析无杂峰。
3.3 椰子壳活性炭: 20~40 目,用于装活性炭采样管。
3.4 纯氮: 99.99% 。
4 仪器和设备
4.1 活性炭采样管:用长 150mm ,内径 3.5~4.0mm ,外径 6mm 的玻璃管,装入 100mg 椰子壳活性炭,两端用少量玻璃棉固定。装好管后再用纯氮气于 300~350 ℃温度条件下吹 5~10min ,然后套上塑料帽封紧管的两端。此管放于干燥器中可保存 5 天。若将玻璃管熔封,此管可稳定三个月。
4.2 空气采样器:流量范围 0.2~1L/min ,流量稳定。使用时用皂膜流量计校准采样系统在采样前和采样后的流量。流量误差应小于 5% 。
4.3 注射器: 1ml 。体积刻度误差应校正。
4.4 微量注射器: 1μl , 10μl 。体积刻度误差应校正。
4.5 具塞刻度试管: 2ml 。
4.6 气相色谱仪:附氢火焰离子化检测器。
4.7 色谱柱: 0.53mm × 30mm 宽径非极性石英毛细管柱。
5 采样和样品保存
在采样地点打开活性炭管,两端孔径至少 2mm ,与空气采样器入气口垂直连接,以 0.5L/min 的速度,抽取 20L 空气。采样后,将管的两端套上塑料帽,并记录采样时的温度和大气压力。样品可保存 5 天。
6 分析步骤
6.1 色谱分析条件:由于色谱分析条件常因实验条件不同而有差异,所以应根据所用气相色谱仪的型号和性能,制定能分析苯的最佳的色谱分析条件。
6.2 绘制标准曲线和测定计算因子:在与样品分析的相同条件下,绘制标准曲线和测定计算因子。
6.2.1 用标准溶液绘制标准曲线:于 5.0ml 容量瓶中,先加入少量二硫化碳,用 1μL 微量注射器准确取一定量的苯( 20 ℃时, 1μl 苯重 0.8787mg )注入容量瓶中,加二硫化碳至刻度,配成一定浓度的储备液。临用前取一定量的储备液用二硫化碳逐级稀释成苯含量分别为 2.0 、 5.0 、 10.0 、 50.0μg/ml 的标准液。取 1μL 标准液进样,测量保留时间及峰高。每个浓度重复 3 次,取峰高的平均值。分别以 1μL 苯的含量( μg/ml )为横坐标( μg ),平均峰高为纵坐标( mm ),绘制标准曲线。并计算回归线的斜率,以斜率的倒数 Bs[μg/mm] 作样品测定的计算因子。
6.3 样品分析:将采样管中的活性炭倒入具塞刻度试管中,加 1.0ml 二硫化碳,塞紧管塞,放置 1h ,并不时振摇。取 1μl 进样,用保留时间定性,峰高( mm )定量。每个样品作三次分析,求峰高的平均值。同时,取一个未经采样的活性炭管按样品管同时操作,测量空白管的平均峰高( mm )。
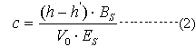
7 结果计算
7.1 将采样体积按式( 1 )换算成标准状态下的采样体积

式中 c —空气中苯或甲苯、二甲苯的浓度, mg/m 3 ;
h —样品峰高的平均值, mm ;
h ' —空白管的峰高, mm ;
B s —由 6.2.1 得到的计算因子, μg/mm ;
E s —由实验确定的二硫化碳提取的效率;
V 0 —标准状况下采样体积, L 。

8 方法特性
8.1 检测下限:采样量为 20L 时,用 1ml 二硫化碳提取,进样 1μl ,检测下限为 0.05mg/m 3 。
8.2 线性范围: 10 6 。
8.3 精密度:苯的浓度为 8.78 和 21.9μg/ml 的液体样品,重复测定的相对标准偏差 7% 和 5% 。
8.4 准确度:对苯含量为 0.5 , 21.1 和 200μg 的回收率分别为 95% , 94% 和 91% 。
附录 D
(规范性附录)
室内空气中总挥发性有机物( TVOC )的检验方法
(热解吸 / 毛细管气相色谱法)
1 方法提要
1.1 相关标准和依据
ISO 16017-1 “Indoor , ambiant and workplace air — Sampling and analysis of volatile organic compounds by sorbent tube/thermal desorption/capillary gas chromatography — part 1 : pumped sampling”
1.2 原理
选择合适的吸附剂( Tenax GC 或 Tenax TA ),用吸附管采集一定体积的空气样品,空气流中的挥发性有机化合物保留在吸附管中。采样后,将吸附管加热,解吸挥发性有机化合物,待测样品随惰性载气进入毛细管气相色谱仪。用保留时间定性,峰高或峰面积定量。
1.3 干扰和排除
采样前处理和活化采样管和吸附剂,使干扰减到最小;选择合适的色谱柱和分析条件,本法能将多种挥发性有机物分离,使共存物干扰问题得以解决。
2 适用范围
2.1 测定范围:本法适用于浓度范围为 0.5 m g/m 3 ~100mg/m 3 之间的空气中 VOC S 的测定。
2.2 适用场所:本法适用于室内、环境和工作场所空气,也适用于评价小型或大型测试舱室内材料的释放。
3 试剂和材料
分析过程中使用的试剂应为色谱纯;如果为分析纯,需经纯化处理,保证色谱分析无杂峰。
3.1 VOC S :为了校正浓度,需用 VOC S 作为基准试剂,配成所需浓度的标准溶液或标准气体,然后采用液体外标法或气体外标法将其定量注入吸附管。
3.2 稀释溶剂:液体外标法所用的稀释溶剂应为色谱纯,在色谱流出曲线中应与待测化合物分离。
3.3 吸附剂:使用的吸附剂粒径为 0.18~0.25mm ( 60~80 目),吸附剂在装管前都应在其最高使用温度下,用惰性气流加热活化处理过夜。为了防止二次污染,吸附剂应在清洁空气中冷却至室温,储存和装管。解吸温度应低于活化温度。由制造商装好的吸附管使用前也需活化处理。
3.4 纯氮: 99.99% 。
4 仪器和设备
4.1 吸附管:是外径 6.3mm 内径 5mm 长 90mm 内壁抛光的不锈钢管,吸附管的采样入口一端有标记。吸附管可以装填一种或多种吸附剂,应使吸附层处于解吸仪的加热区。根据吸附剂的密度,吸附管中可装填 200~1000mg 的吸附剂,管的两端用不锈钢网或玻璃纤维毛堵住。如果在一支吸附管中使用多种吸附剂,吸附剂应按吸附能力增加的顺序排列,并用玻璃纤维毛隔开,吸附能力最弱的装填在吸附管的采样人口端。
4.2 注射器:可精确读出 0.1 m L 的 10 m L 液体注射器;可精确读出 0.1 m L 的 10 m L 气体注射器;可精确读出 0.01mL 的 1mL 气体注射器。
4.3 采样泵:恒流空气个体采样泵,流量范围 0.02~0.5L/min ,流量稳定。使用时用皂膜流量计校准采样系统在采样前和采样后的流量。流量误差应小于 5% 。
4.4 气相色谱仪:配备氢火焰离子化检测器、质谱检测器或其他合适的检测器。
色谱柱:非极性(极性指数小于 10 )石英毛细管柱。
4.5 热解吸仪:能对吸附管进行二次热解吸,并将解吸气用惰性气体载带进入气相色谱仪。解吸温度、时间和载气流速是可调的。冷阱可将解吸样品进行浓缩。
4.6 液体外标法制备标准系列的注射装置:常规气相色谱进样口,可以在线使用也可以独立装配,保留进样口载气连线,进样口下端可与吸附管相连。
5 采样和样品保存
将吸附管与采样泵用塑料或硅橡胶管连接。个体采样时,采样管垂直安装在呼吸带;固定位置采样时,选择合适的采样位置。打开采样泵,调节流量,以保证在适当的时间内获得所需的采样体积( 1~10L )。如果总样品量超过 1mg ,采样体积应相应减少。记录采样开始和结束时的时间、采样流量、温度和大气压力。
采样后将管取下,密封管的两端或将其放入可密封的金属或玻璃管中。样品可保存 5 天。
6 分析步骤
6.1 样品的解吸和浓缩
将吸附管安装在热解吸仪上,加热,使有机蒸气从吸附剂上解吸下来,并被载气流带入冷阱,进行预浓缩,载气流的方向与采样时的方向相反。然后再以低流速快速解吸,经传输线进入毛细管气相色谱仪。传输线的温度应足够高,以防止待测成分凝结。解吸条件 ( 见表 1) 。
表 1 解吸条件
解吸温度 |
250 ℃ ~325 ℃ |
解吸时间 |
5~15min |
解吸气流量 |
30~50ml/min |
冷阱的制冷温度 |
+20 ℃ ~-180 ℃ |
冷阱的加热温度 |
250 ℃ ~350 ℃ |
冷阱中的吸附剂 |
如果使用,一般与吸附管相同, 40~100mg |
载气 |
氦气或高纯氮气 |
分流比 |
样品管和二级冷阱之间以及二级冷阱和分析柱之间的分流比应根据空气中的浓度来选择 |
6.2 色谱分析条件
可选择膜厚度为 1 ~ 5 m m 50m × 0.22mm 的石英柱,固定相可以是二甲基硅氧烷或 7% 的氰基丙烷、 7% 的苯基、 86% 的甲基硅氧烷。柱操作条件为程序升温,初始温度 50 ℃保持 10min ,以 5 ℃ /min 的速率升温至 250 ℃。
6.3 标准曲线的绘制
气体外标法:用泵准确抽取 100 m g/m 3 的标准气体 100ml 、 200ml 、 400ml 、 1L 、 2L 、 4L 、 10L 通过吸附管,制备标准系列。
液体外标法:利用 4.6 的进样装置取 1~5 m l 含液体组分 100 m g/ml 和 10 m g/ml 的标准溶液注入吸附管,同时用 100ml/min 的惰性气体通过吸附管, 5min 后取下吸附管密封,制备标准系列。
用热解吸气相色谱法分析吸附管标准系列,以扣除空白后峰面积的对数为纵坐标,以待测物质量的对数为横坐标,绘制标准曲线。
6.4 样品分析
每支样品吸附管按绘制标准曲线的操作步骤(即相同的解吸和浓缩条件及色谱分析条件)进行分析,用保留时间定性,峰面积定量。
7 结果计算
7.1 将采样体积按式( 1 )换算成标准状态下的采样体积

式中 V 0 —换算成标准状态下的采样体积, L ;
V —采样体积, L ;
T 0 —标准状态的绝对温度, 273K ;
T —采样时采样点现场的温度( t )与标准状态的绝对温度之和,( t+273 ) K ;
P 0 —标准状态下的大气压力, 101.3kPa ;
P —采样时采样点的大气压力, kPa 。
7.2 TVOC 的计算
( 1 )应对保留时间在正己烷和正十六烷之间所有化合物进行分析。
( 2 )计算 TVOC ,包括色谱图中从正己烷到正十六烷之间的所有化合物。
( 3 )根据单一的校正曲线,对尽可能多的 VOC S 定量,至少应对十个最高峰进行定量,最后与 TVOC 一起列出这些化合物的名称和浓度。
( 4 )计算已鉴定和定量的挥发性有机化合物的浓度 S id 。
( 5 )用甲苯的响应系数计算未鉴定的挥发性有机化合物的浓度 S un 。
( 6 ) S id 与 S un 之和为 TVOC 的浓度或 TVOC 的值。
( 7 )如果检测到的化合物超出了( 2 )中 VOC 定义的范围,那么这些信息应该添加到 TVOC 值中。
7.3 空气样品中待测组分的浓度按( 2 )式计算

式中 : c —空气样品中待测组分的浓度 , m g /m 3 ;
F —样品管中组分的质量 , m g ;
B —空白管中组分的质量 , m g;
V 0 —标准状态下的采样体积, L 。
8 方法特性
8.1 检测下限:采样量为 10L 时,检测下限为 0.5 m g/m 3 。
8.2 线性范围: 10 6 。
8.3 精密度:在吸附管上加入 10μg 的混合标准溶液, Tenax TA 的相对标准差范围为 0.4% 至 2.8% 。
8.4 准确度: 20 ℃、相对湿度为 50% 的条件下,在吸附管上加入 10mg/ml 的正己烷, Tenax TA 、 Tenax GR ( 5 次测定的平均值)的总不确定度为 8.9% 。
附录 E
(规范性附录)
室内空气中细菌总数检验方法
1 适用范围
本方法适用于室内空气细菌总数测定。
2 定义
撞击法 (impacting method) 是采用撞击式空气微生物采样器采样,通过抽气动力作用,使空气通过狭缝或小孔而产生高速气流 , 使悬浮在空气中的带菌粒子撞击到营养琼脂平板上 , 经 37 ℃、 48h 培养后 , 计算出每立方米空气中所含的细菌菌落数的采样测定方法。
3 仪器和设备
3.1 高压蒸汽灭菌器。
3.2 干热灭菌器。
3.3 恒温培养箱。
3.4 冰箱。
3.5 平皿 ( 直径 9cm) 。
3.6 制备培养基用一般设备:量筒,三角烧瓶, pH 计或精密 pH 试纸等。
3.7 撞击式空气微生物采样器。
采样器的基本要求 :
(1) 对空气中细菌捕获率达 95 %。
(2) 操作简单 , 携带方便 , 性能稳定 , 便于消毒。
4 营养琼脂培养基
4.1. 成分 :
蛋白胨 20g
牛肉浸膏 3g
氯化钠 5g
琼脂 15~20g
蒸馏水 1000ml
4.2 制法 将上述各成分混合 , 加热溶解 , 校正 pH 至 7.4 ,过滤分装, 121 ℃, 20min 高压灭菌。撞击法参照采样器使用说明制备营养琼脂平板。
5 操作步骤
5.1 选择有代表性的房间和位置设置采样点。将采样器消毒 , 按仪器使用说明进行采样。
5.2 样品采完后,将带菌营养琼脂平板置 36 ± 1 ℃恒温箱中 , 培养 48h ,计数菌落数 , 并根据采样器的流量和采样时间 , 换算成每 m 3 空气中的菌落数。以 cfu/m 3 报告结果。
附录 E
(规范性附录)
热环境参数的检验方法
热环境参数测试的要求、方法和仪器 *
测试项目 |
测试范围 |
准确度 |
测试方法和仪器 |
温度 |
-10~50 ℃ |
± 0.3 ℃ |
玻璃温度计(包括干湿球温度计)
数字式温度计(热电偶、热电阻、半导体式包括数字式湿度计或风速计所附的温度计) |
相对湿度 |
12%~99% |
± 3% |
干湿球温度计
氯化锂露点式湿度计
电容式数字湿度计 |
空气流速 |
0.01~20m/s |
± 5% |
热球式电风速计
热线式电风速计 |
* 各种测试仪器的使用方法见仪器的使用说明书。
|